ระบบแจ้งความประสงค์ขอหนังสือรับรองฯ/
ทะเบียน/บัตร [One Stop Service]
สมาร์ทบุ๊คกิ้งระบบจองรถและจองห้องประชุมฯ [Smart Booking]
ระบบศูนย์บริหารความสุขและความปลอดภัยฯ [LPG1 Smart Safety]
ระบบสำนักงานอิเล็กทรอนิกส์ [SMART OFFICE]
ระบบเงินเดือนข้าราชการฯ [E-MONEY]
ระบบสลิปเงินเดือนข้าราชการบำนาญฯ [E-PENSION]
ระบบสลิปเงินเดือนพนักงานราชการ-ครูอัตราจ้างฯ [E-SALARY]
โปรแกรมบริหารงานการเงิน School Account Online : LPG1
นายสยามรัฐ กุลประดิษฐ์ |
| ผู้อำนวยการ สำนักงานเขตพื้นที่การศึกษาประถมศึกษาลำปาง เขต 1 |
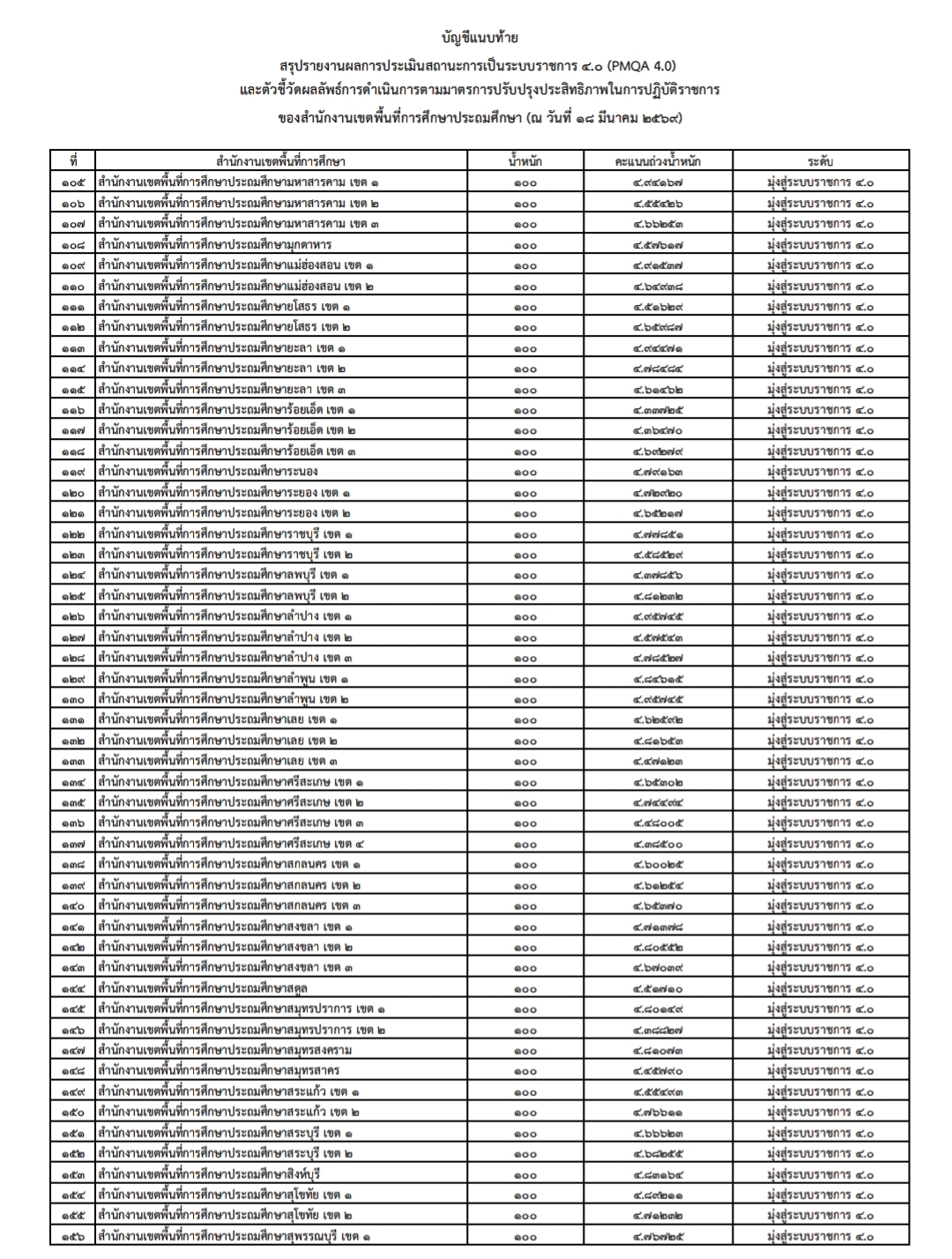
ผลการประเมิน (PMQA) และ KRS ประจำปีงบประมาณ 2568
รายละเอียดข่าว


